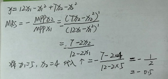
已知生产函数,当x1=5,x2=4时,资源x2替代资源x1的精确边际替代率为

作者:高老师 浏览 0

已知生产函数,当x1=5,x2=4时,资源x2替代资源x1的精确边际替代率为


A、-0.5
B、-0.8
C、-1.2
D、-8
【正确答案】:A
【题目解析】:


📱 扫码体验刷题小程序

微信小程序二维码

扫一扫使用我们的微信小程序

热门题目

已复制到剪贴板