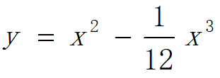
生产函数,当x=4时,其精确边际产量为

作者:高老师 浏览 1

生产函数,当x=4时,其精确边际产量为


A、4
B、8
C、10.7
D、12
【正确答案】:A

📱 扫码体验刷题小程序

微信小程序二维码

扫一扫使用我们的微信小程序

热门题目

已复制到剪贴板