根据玉米产量与肥料施用量之间的试验数据建立的生产函数为:,计算:(1)当肥料投入量为3单位时,求肥料投入的生产弹性。(2)设肥料

作者:高老师 浏览 0

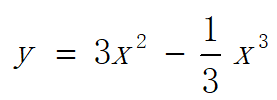
根据玉米产量与肥料施用量之间的试验数据建立的生产函数为:
计算:
(1)当肥料投入量为3单位时,求肥料投入的生产弹性。
(2)设肥料投入为多少,可取得玉米的最大产量?


【正确答案】:

📱 扫码体验刷题小程序

微信小程序二维码

扫一扫使用我们的微信小程序

热门题目

已复制到剪贴板