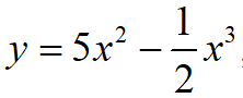
根据某产品与某肥料施用量之间的试验数据建立的生产函数:
计算:
(1)当化肥投入量为2单位时,求化肥投入的产出弹性。
(2)化肥投入多少,可取得最大产量?
【正确答案】:
解:(1)根据产出弹性的计算公式:
(4分)
将x=2带入上式,得EP=1.75 (2分)
即当化肥投入量为2单位时,化肥投入的产出弹性为1.75。
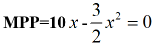
(2)根据盈利最大化条件
(2分)
解方程可得
x=6.7(2分)
即化肥投入为6.7单位时,可取得最大产量。
根据某产品与某肥料施用量之间的试验数据建立的生产函数:
计算:
(1)当化肥投入量为2单位时,求化肥投入的产出弹性。
(2)化肥投入多少,可取得最大产量?
解:(1)根据产出弹性的计算公式:
(4分)
将x=2带入上式,得EP=1.75 (2分)
即当化肥投入量为2单位时,化肥投入的产出弹性为1.75。
(2)根据盈利最大化条件
(2分)
解方程可得
x=6.7(2分)
即化肥投入为6.7单位时,可取得最大产量。
📱 扫码体验刷题小程序
扫一扫使用我们的微信小程序