下列各式中,关于边际衡量原理表述正确的有( )

作者:高老师 浏览 3

下列各式中,关于边际衡量原理表述正确的有( )
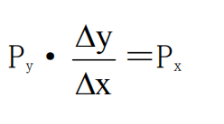
A、
B、
C、
D、
E、
【正确答案】:AD

📱 扫码体验刷题小程序

微信小程序二维码

扫一扫使用我们的微信小程序

热门题目

已复制到剪贴板