下列生产函数中,存在比例经济的表达式是()

作者:高老师 浏览 3

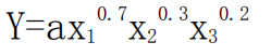
下列生产函数中,存在比例经济的表达式是()
A、
B、
C、
D、
【正确答案】:A

📱 扫码体验刷题小程序

微信小程序二维码

扫一扫使用我们的微信小程序

热门题目

已复制到剪贴板