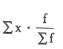
近似地确定中位数的公式是

作者:高老师 浏览 0

近似地确定中位数的公式是
A、
B、
C、
D、
【正确答案】:A
【题目解析】:教材62页

📱 扫码体验刷题小程序

微信小程序二维码

扫一扫使用我们的微信小程序

热门题目

已复制到剪贴板