下表为甲企业职工工资分组资料:月工资(千元)职工人数(人)310415530625720合计100另有乙企业职工月平

作者:高老师 浏览 0

 

下表为甲企业职工工资分组资料:

月工资(千元)

职工人数(人)

3

10

4

15

5

30

6

25

7

20

合计

100

另有乙企业职工月平均工资为5000元,工资标准差为1000元,试比较两个企业职工平均工资哪一个代表性大? 

另有乙企业职工月平均工资为5000元,工资标准差为1000元,试比较两个企业职工平均工资哪一个代表性大?
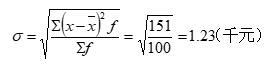
【正确答案】:

甲企业:算术平均数:,标准差=,离散系数=,乙企业:离散系数=,由于乙企业的离散系数小于甲企业的离散系数,故乙企业职工平均工资的代表性大。


📱 扫码体验刷题小程序

微信小程序二维码

扫一扫使用我们的微信小程序

热门题目

已复制到剪贴板