简述算术平均数的含义及其计算公式。

作者:高老师 浏览 5

简述算术平均数的含义及其计算公式。
【正确答案】:

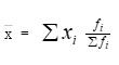
算术平均数又称均值,是集中趋势最主要的测度值。是各项数据值之和与数据个数之比。其计算公式如下:简单算术平均数:,加权算术平均数:,


📱 扫码体验刷题小程序

微信小程序二维码

扫一扫使用我们的微信小程序

热门题目

已复制到剪贴板