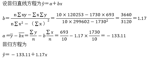
10名男大学生的身高和体重资料如下:[图1]试根据上述资料以身高作为自变量、体重作为因变量,拟合学生身高与体重间的一元线性回归方

作者:高老师 浏览 26

10名男大学生的身高和体重资料如下:[图1]试根据上述资料以身高作为自变量、体重作为因变量,拟合学生身高与体重间的一元线性回归方程。[图2]


【正确答案】:答案见解析。
【题目解析】:

[图1]


📱 扫码体验刷题小程序

微信小程序二维码

扫一扫使用我们的微信小程序

热门题目

已复制到剪贴板