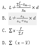
确定中位数的近似公式是()。[图1]

作者:高老师 浏览 0

确定中位数的近似公式是()。[图1]


A、A
B、B
C、C
D、D
【正确答案】:A
【题目解析】:确定中位数的近似公式是A项。

📱 扫码体验刷题小程序

微信小程序二维码

扫一扫使用我们的微信小程序

热门题目

已复制到剪贴板