某水泥厂生产100㎏装水泥,每分钟产量10袋,连续生产一天的产量为1440袋,现每隔144分钟抽取10袋组成样本,检测其包装重量,结果如下:
计算抽样平均误差。并以95.45%9(t=2)的概率估计这一天生产水泥平均每袋重量的区间。(提示:使用不重置抽样方法)
【正确答案】:
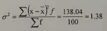
解:


在95.45%的可靠程度下,t=2;
估计区间上限:99.86+0.23=100.09;
估计区间下限:99.86-0.23=99.63。
某水泥厂生产100㎏装水泥,每分钟产量10袋,连续生产一天的产量为1440袋,现每隔144分钟抽取10袋组成样本,检测其包装重量,结果如下:
计算抽样平均误差。并以95.45%9(t=2)的概率估计这一天生产水泥平均每袋重量的区间。(提示:使用不重置抽样方法)
解:


在95.45%的可靠程度下,t=2;
估计区间上限:99.86+0.23=100.09;
估计区间下限:99.86-0.23=99.63。
📱 扫码体验刷题小程序
扫一扫使用我们的微信小程序