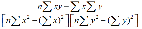
下列计算相关系数公式中,正确的有 作者:高老师 时间:2024-07-25 浏览 3 下列计算相关系数公式中,正确的有A、B、C、D、E、【正确答案】:BCD【题目解析】:以上计算相关系数公式中,正确的有BCD三项。 📱 扫码体验刷题小程序 扫一扫使用我们的微信小程序