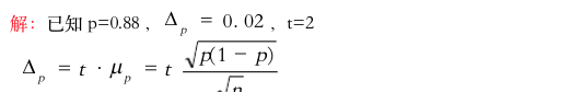
对某企业产品合格率进行抽样调查,根据经验,合格率为88%,本次调查要求误差不超过2%,概率保证程度为95.46%(t=2),问至 作者:高老师 时间:2024-07-25 浏览 5 对某企业产品合格率进行抽样调查,根据经验,合格率为88%,本次调查要求误差不超过2%,概率保证程度为95.46%(t=2),问至少要抽多少件产品以形成样本?【正确答案】: 📱 扫码体验刷题小程序 扫一扫使用我们的微信小程序