<img src="https://learnfile.20230611.cn/learnAppQuestion/0d/f0/0

作者:高老师 浏览 0

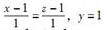
A.

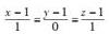
B.

C.

D.

正确答案是B

热门题目

已复制到剪贴板