下列属于利率平价计算公式的是( )

作者:高老师 浏览 0

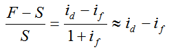
下列属于利率平价计算公式的是( )
A、
B、
C、
D、
【正确答案】:D
【题目解析】:A是购买力平价程度绝对形式的表示形式;BC是购买力平价的相对形式的表示形式;D是利率平价计算公式。

📱 扫码体验刷题小程序

微信小程序二维码

扫一扫使用我们的微信小程序

热门题目

已复制到剪贴板