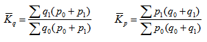
【正确答案】:
埃马指数的计算公式为
。埃马指数公式的特点是,用基期和报告期的平均价格作为同度量因素编制物量总指数,用基期和报告期的平均物量作为同度量因素来编制物价总指数。
【题目解析】:
埃马指数的计算公式为
。埃马指数公式的特点是,用基期和报告期的平均价格作为同度量因素编制物量总指数,用基期和报告期的平均物量作为同度量因素来编制物价总指数。
埃马指数的计算公式为
。埃马指数公式的特点是,用基期和报告期的平均价格作为同度量因素编制物量总指数,用基期和报告期的平均物量作为同度量因素来编制物价总指数。
埃马指数的计算公式为
。埃马指数公式的特点是,用基期和报告期的平均价格作为同度量因素编制物量总指数,用基期和报告期的平均物量作为同度量因素来编制物价总指数。
📱 扫码体验刷题小程序
扫一扫使用我们的微信小程序