简述正态分布的概率密度表达式及数学期望和方差。

作者:高老师 浏览 0

简述正态分布的概率密度表达式及数学期望和方差。
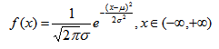
【正确答案】:

,数学期望和方差为


【题目解析】:,数学期望和方差为

📱 扫码体验刷题小程序

微信小程序二维码

扫一扫使用我们的微信小程序

热门题目

已复制到剪贴板