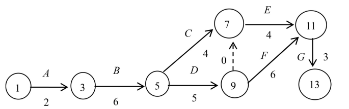
某一项工程有7项活动,有关数据如表所示。试绘制该工程的箭线式网络图,求出各结点的时间参数ESi,和LFi,并写出关键线路。

作者:高老师 浏览 1

某一项工程有7项活动,有关数据如表所示。试绘制该工程的箭线式网络图,求出各结点的时间参数ESi,和LFi,并写出关键线路。


【正确答案】:

各结点时间参数如表:



📱 扫码体验刷题小程序

微信小程序二维码

扫一扫使用我们的微信小程序

热门题目

已复制到剪贴板