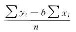
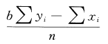
回归方程式y=ax+b中的系数a等于

作者:高老师 浏览 2

回归方程式y=ax+b中的系数a等于
A、
B、
C、
D、
【正确答案】:B

📱 扫码体验刷题小程序

微信小程序二维码

扫一扫使用我们的微信小程序

热门题目

已复制到剪贴板