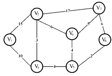
电信公司准备在甲、乙两地之间沿公路架设光缆,下图给出了两地间的公路交通图,其中,V1表示甲地,V7表示乙地,点与点之间的连线(边)表示公路,边上的数值表示两地间公路长度(km)。问如何选择架设线路可使光缆架设距离为最短?最短距离是多少?

【正确答案】:


【题目解析】:
本题,从V1到V7,找最近的路线即可。
可从V7逆向选择,明显距离最近的路线为V7—V6—V5—V3—V1
最短距离为所选路线所有结点间公路长度的加和。
电信公司准备在甲、乙两地之间沿公路架设光缆,下图给出了两地间的公路交通图,其中,V1表示甲地,V7表示乙地,点与点之间的连线(边)表示公路,边上的数值表示两地间公路长度(km)。问如何选择架设线路可使光缆架设距离为最短?最短距离是多少?



本题,从V1到V7,找最近的路线即可。
可从V7逆向选择,明显距离最近的路线为V7—V6—V5—V3—V1
最短距离为所选路线所有结点间公路长度的加和。
📱 扫码体验刷题小程序
扫一扫使用我们的微信小程序