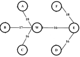
某工程埋设电缆,将中央控制室W与6个控制点相连通,各控制点位置及距离(公里)如下图。如何埋设可使电缆总长最短?求出最短距离

【正确答案】:

最短距离为:16+16+16+17+18+18=101(公里)
【题目解析】:
本题有多种解题思路,我们只介绍其中一种。以W为中心,将图分成左右两侧。与W距离最近的未连接点为E和C,在左侧,与W、C距离最近的未连接点为B,与W、C、B最近的未连接点为A;另外一侧,与W、E距离最近的未连接点为D,与W、E、D距离最近的未连接点为F,将上以上各点连接,求出最短距离:16+16+16+17+18+18=101(公里)。