网络中某个作业所需要的时间,最乐观的估计为a天,最保守的估计为b天,最可能的估计为m天,则该作业的三种时间估计法的估计值是( )
A、
a+b-m
B、
(a+b+m)/3
C、
(a+b+2m)/4
D、
(a+b+4m)/6
【正确答案】:D
【题目解析】:
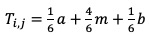
a为最乐观时间,b为最保守时间,m为最可能时间,三种时间估计法的估计值是:
.
网络中某个作业所需要的时间,最乐观的估计为a天,最保守的估计为b天,最可能的估计为m天,则该作业的三种时间估计法的估计值是( )
a+b-m
(a+b+m)/3
(a+b+2m)/4
(a+b+4m)/6
a为最乐观时间,b为最保守时间,m为最可能时间,三种时间估计法的估计值是:
.
📱 扫码体验刷题小程序
扫一扫使用我们的微信小程序