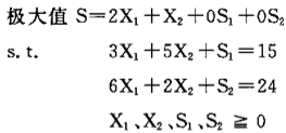
建立线性规划问题的标准形式,以原点为基础求出基础可行解,并以单纯形法优化求解。

作者:高老师 浏览 1

某公司生产甲、乙两种产品(吨),这两种产品均需要使用两种关键原材料进行加工,资源限量与可获利润数据如下表。



建立线性规划问题的标准形式,以原点为基础求出基础可行解,并以单纯形法优化求解。


【正确答案】:






【题目解析】:



📱 扫码体验刷题小程序

微信小程序二维码

扫一扫使用我们的微信小程序

热门题目

已复制到剪贴板