某公司利用两种原料 A、B生产甲 、乙两种产品 , 各产品所需的原料数 、原料限量及单位产品所获利润如题表。企业目标是追求利润的最大化 ,试写出该线性规划问题的数学模型 ,并用图解法求出最优解和最大利润。

【正确答案】:
设生产甲产品
吨,乙产品
吨,线性规划模型如下:

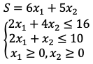
求S的最大值。

最优解是
,最大利润是MAXS=34(万元)。
【题目解析】:
第一步:建立模型。
(1)目标函数:总利润最大,即求
的最大值。
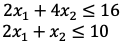
(2)约束条件:
原料A不多于16吨,原料B不多于10吨,可得:
变量非负条件:
第二步:图解法求最优解。
根据约束条件求得目标函数的可行解区,根据线性规划的基本原理,最优解必然出现在可行解区边缘折线的凸交点上,通过计算得,目标函数在点(4,2)处取最大值,求得最大利润为6×4+5×2=34(万元)。