某电子厂商试制一款移动U盘,前1至3月份的生产成本依次为:36、33、33(元/个),试用指数平滑预测法,取平滑系数为0.5,预测第4个月该款移动U盘的生产成本。(第一个月专家预测值为34元/月)。
【正确答案】:

【题目解析】:
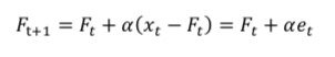
指数平滑预测法的公式如下:

本题要求第四个月的生产成本预测值,需知第三个月的预测值和实际值;
要求第三方个月的预测值,需知第二个月的预测值和实际值。
因此第一步先求出第二个月的预测值,再一次求第三个月和第四个月的预测值。
某电子厂商试制一款移动U盘,前1至3月份的生产成本依次为:36、33、33(元/个),试用指数平滑预测法,取平滑系数为0.5,预测第4个月该款移动U盘的生产成本。(第一个月专家预测值为34元/月)。

指数平滑预测法的公式如下:

本题要求第四个月的生产成本预测值,需知第三个月的预测值和实际值;
要求第三方个月的预测值,需知第二个月的预测值和实际值。
因此第一步先求出第二个月的预测值,再一次求第三个月和第四个月的预测值。
📱 扫码体验刷题小程序
扫一扫使用我们的微信小程序