翰林刷题,免费考试真题网站!
首页
关于我们
首页
›
分类
› 详情
设是概率方阵,则
作者:高老师
时间:2024-07-27
浏览 0
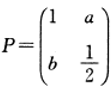
设
是概率方阵,则
A、
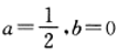
B、α=0,b=0
C、
D、
【正确答案】:A
📱 扫码体验刷题小程序
扫一扫使用我们的微信小程序
热门题目
中国历史上第一部具有资产阶级共和国宪法性质的法典是( )
对回归模型进行检验,首先要进行的是( )
The Japanese car, which is more economical, has long been consid
简述室内设计包含的四个主要内容
简述教育要求一致和教育方法灵活相结合的原则。
应用题:结合实际谈谈在幼儿园中如何开展对孤独症儿童的一体化教育。
如何理解美育的形象是一种活的形象?
是实现物流供应链集成的有效方法和策略。
Translate the following underlined sentences into English.产生于家庭关
He________ a sum of money every month for his old age.
分句是( )
被称为“中国现代第一出真正悲剧”的作品是()
➕
➖
📋
⬆️
已复制到剪贴板