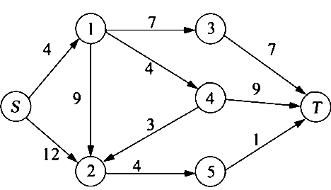
如题36图所示,圆圈代表网络节点,节点间的连线表示它们间有网线相连,连线上的数表示该网线传送10兆字节的信息所用时间(单位:秒)。现需从点S向点T传送10兆字节的信息,问至少需多少时间?
题36图
【正确答案】:最短路线沿S→1→4→2→5→T传送;最短时间为16秒。
如题36图所示,圆圈代表网络节点,节点间的连线表示它们间有网线相连,连线上的数表示该网线传送10兆字节的信息所用时间(单位:秒)。现需从点S向点T传送10兆字节的信息,问至少需多少时间?
题36图
📱 扫码体验刷题小程序
扫一扫使用我们的微信小程序