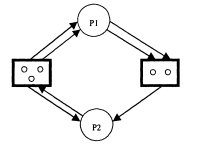
某系统在t时刻的资源分配图如题图所示。根据死锁定理,该资源分配图(),所以系统处于()状态。

作者:高老师 浏览 2

某系统在t时刻的资源分配图如题图所示。根据死锁定理,该资源分配图(),所以系统处于()状态。


【正确答案】:不可完全简化、死锁

📱 扫码体验刷题小程序

微信小程序二维码

扫一扫使用我们的微信小程序

热门题目

已复制到剪贴板