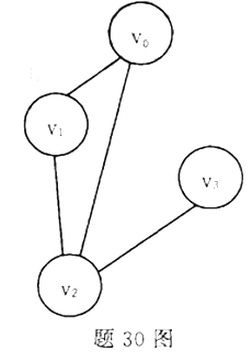
给定无向图如题30图所示。(1)计算D(v1)和D(v2)(2)写出以顶点v0为起点到v3的所有简单路径。

作者:高老师 浏览 0

给定无向图如题30图所示。
(1)计算D(v1)和D(v2)
(2)写出以顶点v0为起点到v3的所有简单路径。


【正确答案】:(1)D(v1)=2,D(v2)=3。
(2)v0→v1→v2→v3,v0→v2→v3

📱 扫码体验刷题小程序

微信小程序二维码

扫一扫使用我们的微信小程序

热门题目

已复制到剪贴板