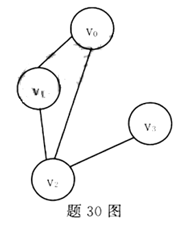
无向图如题30图所示。(1)列出所有简单回路。(2)写出邻接矩阵。

作者:高老师 浏览 2

无向图如题30图所示。
(1)列出所有简单回路。
(2)写出邻接矩阵。


【正确答案】:

(1)v0→v1→v2→v0和v0→v2→v1→v0
v0 v1 v2 v3


📱 扫码体验刷题小程序

微信小程序二维码

扫一扫使用我们的微信小程序

热门题目

已复制到剪贴板