利用连通分量计算算法求出图中非连通图连通分量的个数。

【正确答案】:
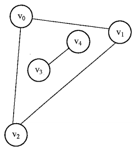
连通分量1包含以下顶点:012
连通分量2包含以下顶点:34
共有2个连通分量。
【题目解析】:

连通分量1包含以下顶点:012
连通分量2包含以下顶点:34
共有2个连通分量。
利用连通分量计算算法求出图中非连通图连通分量的个数。

连通分量1包含以下顶点:012
连通分量2包含以下顶点:34
共有2个连通分量。

连通分量1包含以下顶点:012
连通分量2包含以下顶点:34
共有2个连通分量。
📱 扫码体验刷题小程序
扫一扫使用我们的微信小程序