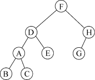
假设一棵二叉树的中序序列与后序序列分别为:B A C D E F G H和B C A E D G H F,请画出该二叉树。

作者:高老师 浏览 0

假设一棵二叉树的中序序列与后序序列分别为:B A C D E F G H和B C A E D G H F,请画出该二叉树。
【正确答案】:
(注:每棵子树根结点正确得1分,全部答对得满分)

📱 扫码体验刷题小程序

微信小程序二维码

扫一扫使用我们的微信小程序

热门题目

已复制到剪贴板