由3个结点可以构造出多少种不同的二叉树?

作者:高老师 浏览 1

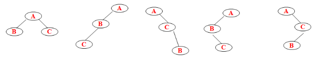
由3个结点可以构造出多少种不同的二叉树?
A、2种
B、3种
C、4种
D、5 种
【正确答案】:D
【题目解析】:

如下图5种:



📱 扫码体验刷题小程序

微信小程序二维码

扫一扫使用我们的微信小程序

热门题目

已复制到剪贴板