【正确答案】:

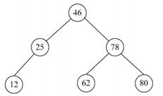
【题目解析】: 通常采用逐点插入结点的方法来构造二叉排序树,其方法表述如下:设K={kl,k2,k3,…,kn}为数据元素序列。从k1开始依次取序列中的元素,每取出一个数据元素ki按下列原则建立二叉排序树的一个结点:① 若二叉排序树为空,则ki就是该二叉排序树的根结点。② 若二叉排序树非空,则将ki与该二叉排序树的根结点的值进行比较。若ki小于根结点的值,则将ki插入到根结点的左子树中,否则将ki插入到根结点的右子树中。

📱 扫码体验刷题小程序
扫一扫使用我们的微信小程序