设利用12MHz的采样频率对信号进行采样,若量化级为4,试计算出在无噪声信道中的数据传输速率和所需的信道带宽。

作者:高老师 浏览 1

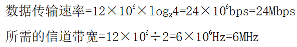
设利用12MHz的采样频率对信号进行采样,若量化级为4,试计算出在无噪声信道中的数据传输速率和所需的信道带宽。
【正确答案】:

📱 扫码体验刷题小程序

微信小程序二维码

扫一扫使用我们的微信小程序

热门题目

已复制到剪贴板