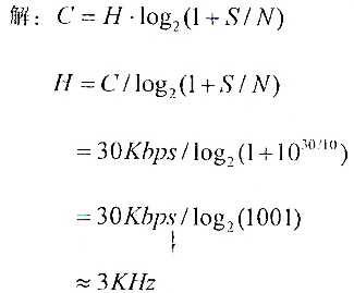
有一受随机噪声干扰的信道,其信噪比为30dB,最大数据传输速率为30Kbps。试求出该信道的带宽。

作者:高老师 浏览 0

有一受随机噪声干扰的信道,其信噪比为30dB,最大数据传输速率为30Kbps。试求出该信道的带宽。
【正确答案】:

📱 扫码体验刷题小程序

微信小程序二维码

扫一扫使用我们的微信小程序

热门题目

已复制到剪贴板