设某令牌环网中有50个站点,长度为1Km,数据传输速率为10Mbps,每个站引入2位延迟,信号传播速度为200m/μs,数据帧的

作者:高老师 浏览 1

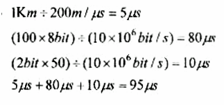
设某令牌环网中有50个站点,长度为1Km,数据传输速率为10Mbps,每个站引入2位延迟,信号传播速度为200m/μs,数据帧的最大长度为100字节。试求出检测令牌丢失的超时计数器的最小值。
【正确答案】:

📱 扫码体验刷题小程序

微信小程序二维码

扫一扫使用我们的微信小程序

热门题目

已复制到剪贴板