设以太网中的A、B主机通过10Mbit/s的链路连接到交换机,每条链路的传播延迟均为20μs,交换机接收完一个分组35μs后转发

作者:高老师 浏览 0

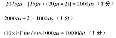
设以太网中的A、B主机通过10Mbit/s的链路连接到交换机,每条链路的传播延迟均为20μs,交换机接收完一个分组35μs后转发该分组,从A开始发送至B接收到一个分组所需的总时间为2075μs。试求出该分组的比特数。
【正确答案】:

📱 扫码体验刷题小程序

微信小程序二维码

扫一扫使用我们的微信小程序

热门题目

已复制到剪贴板