设16Mbps的令牌环网长度为10Km,信号传播速度为2×108m/s,每个站点的接口引入2位延迟,环的比特长度为1000bit

作者:高老师 浏览 0

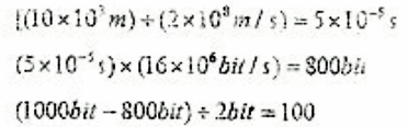
设16Mbps的令牌环网长度为10Km,信号传播速度为2×108m/s,每个站点的接口引入2位延迟,环的比特长度为1000bit,试求出环路上站点的数量。
【正确答案】:

📱 扫码体验刷题小程序

微信小程序二维码

扫一扫使用我们的微信小程序

热门题目

已复制到剪贴板