完成程序题:请按空格顺序填写答案。
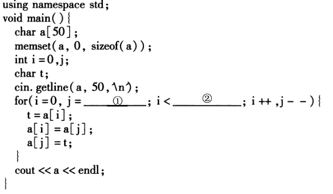
使其实现:输入一个字符串,将其逆序输出。
#include

【正确答案】:
第1空:STRLEN(A)-1
第2空:STRLEN(A)/2
【题目解析】:
使用strlen()函数用来计算字符串的长度,利用数组下标使字符串逆序输出。
本题中,i是从前往后移动,j是从后往前移动,所以,j的初值是strlen(a)-1
当i移动到字符串长度的一半时,就完成了置换,故i< strlen(a)/2
完成程序题:请按空格顺序填写答案。
使其实现:输入一个字符串,将其逆序输出。
#include

第1空:STRLEN(A)-1
第2空:STRLEN(A)/2
使用strlen()函数用来计算字符串的长度,利用数组下标使字符串逆序输出。
本题中,i是从前往后移动,j是从后往前移动,所以,j的初值是strlen(a)-1
当i移动到字符串长度的一半时,就完成了置换,故i< strlen(a)/2
📱 扫码体验刷题小程序
扫一扫使用我们的微信小程序