设有一个存储器,其地址寄存器为20位,已知每个存储单元可存放16位二进制数。要求:
(1)计算出该存储器的容量。
(2)若该存储器全部用于存放汉字信息,每个汉字采用内码方式存入,则该存储器可存
人多少个汉字?
【正确答案】:

【题目解析】:
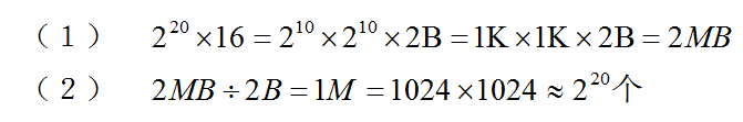
(1)用单个存储单元的容量乘以存储单元的数量即可求出存储器的容量。

(2)一个汉字采用内码方式存入需要2B

设有一个存储器,其地址寄存器为20位,已知每个存储单元可存放16位二进制数。要求:
(1)计算出该存储器的容量。
(2)若该存储器全部用于存放汉字信息,每个汉字采用内码方式存入,则该存储器可存
人多少个汉字?

(1)用单个存储单元的容量乘以存储单元的数量即可求出存储器的容量。

(2)一个汉字采用内码方式存入需要2B

📱 扫码体验刷题小程序
扫一扫使用我们的微信小程序