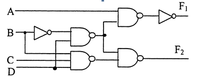
写出题中图所示组合电路的输出逻辑表达式,并进行适当的化简。
【正确答案】:

【题目解析】:

按照图,从F1开始反推,先经历了非门,然后经历了一个与门,这个与门一个入口是A,另一个入口来自另一个与门,这个与门一个入口来自一个非门,而非门来自B。与门的另一个入口来自D。
写出题中图所示组合电路的输出逻辑表达式,并进行适当的化简。


按照图,从F1开始反推,先经历了非门,然后经历了一个与门,这个与门一个入口是A,另一个入口来自另一个与门,这个与门一个入口来自一个非门,而非门来自B。与门的另一个入口来自D。
📱 扫码体验刷题小程序
扫一扫使用我们的微信小程序