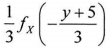
已知随机变量X的概率密度为fx(x),设Y=-3X-5, 则Y的概率密度fY(y)用fx(x)表示为______.

作者:高老师 浏览 1

已知随机变量X的概率密度为fx(x),设Y=-3X-5, 则Y的概率密度fY(y)用fx(x)表示为______.
【正确答案】:

📱 扫码体验刷题小程序

微信小程序二维码

扫一扫使用我们的微信小程序

热门题目

已复制到剪贴板