翰林刷题,免费考试真题网站!
首页
关于我们
首页
›
分类
› 详情
( )
作者:高老师
时间:2024-07-29
浏览 1
( )
A、-1
C、1
D、2
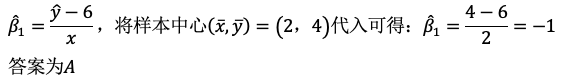
【正确答案】:A
【题目解析】:
📱 扫码体验刷题小程序
扫一扫使用我们的微信小程序
热门题目
在Word 2010 中,不选择文本直接进行分栏操作,显示分栏效果的是_____。
ERG理论中R代表的需要层次是( )
5~6岁儿童心理特征是什么?
影响借贷平衡的错账通常有( )
请将下列的日语句子译成汉语。秋はさわやかな季節で芸術やスポーツの催しが盛んです。
王さんは毎日自転車( )学校へ行きます。
The government’s annual()on arms has been reduced.
A new type of international relations characterized by mutual re
单处理器系统中,任一时刻处于运行态的进程有_____个。
Albert Einstein is said to have been asked by a student, “ What
以下属于亚当•斯密国际分工理论要点的有()
2005年,某国全部16岁以上的具有工作能力的人口为32459.8万人,民用劳动力人数为20777.1万人,就业人数18320.
➕
➖
📋
⬆️
已复制到剪贴板