翰林刷题,免费考试真题网站!
首页
关于我们
首页
›
分类
› 详情
作者:高老师
时间:2024-07-29
浏览 0
A、
B、
C、
D、
【正确答案】:A
【题目解析】:
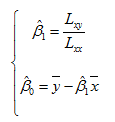
最小二乘估计为:
答案为A
📱 扫码体验刷题小程序
扫一扫使用我们的微信小程序
热门题目
简述唯物论的反映论与唯心论的认识论的对立。
简述物流的概念及其要点。
通过信息管理物流,可有效地提高整个物流的( )。
任何人都要面对并处理人与自然的关系问题。下列选项中,真正体现了人与自然关系的基础是
近年来,幼儿园和托儿所的发展方向是()
面向对象中的“对象”是指()
依赖于机器的语言属于【】
在数据库设计中,对用户需求进行综合、归纳与抽象,形成独立于具体数据库管理系统的概念模型的工作,是属于
For a week after the commission of the impious and profane offen
wTO负责实施管理的贸易协定与协议都属于()
在实际中评价预测误差的方法,主要有()
“小可许州人氏,姓李,排行第四,人口顺唤做银匠李四。”句中“口顺”这个词的构成方式是()
➕
➖
📋
⬆️
已复制到剪贴板