作者:高老师 浏览 0




【正确答案】:



【题目解析】:

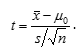
题目属于方差未知时,单个正态总体的均值检验,因此采用t检验方法,计算统计量,检验步骤如下:


📱 扫码体验刷题小程序

微信小程序二维码

扫一扫使用我们的微信小程序

热门题目

已复制到剪贴板