翰林刷题,免费考试真题网站!
首页
关于我们
首页
›
分类
› 详情
作者:高老师
时间:2024-07-29
浏览 0
【正确答案】:
【题目解析】:
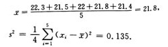
根据样本均值和方差的计算公式可得
📱 扫码体验刷题小程序
扫一扫使用我们的微信小程序
热门题目
描述处理逻辑的常用工具有()。
《虞美人》(春花秋月何时了)所写景物中,作者借以喻愁的是()
起始于20世纪40年代,并在20世纪70年代进入高峰的第三次科技革命,是以微电子、信息技术、宇航技术、核能技术、激光技术、生物工
外汇买卖的价格即汇率,又称 ()
在劳动者个人占有生产资料的基础上,从事个体劳动和个体经营的一种私有制经济是指()。
补偿性工资差别
俗话说:孩子是自己的好。做家长的总是认为自己的孩子是天底下最优秀的,最可爱的,因此在家庭教育过程中父母容易感情用事,过度宠爱自己
简述学前教育经验总结的基本要求。
假设2002年12月31日,乙公司应收账款600000元中有100000元为甲公司的应收账款,应收票据400000元中有5000
某企业12月份以银行存款支付下一年的固定电话套餐费12000元。要求:根据上述经济业务编制会计分录。
下列关于所有者权益特征的表述中,正确的是
Translate the following sentence into Chinese.A young man of hum
➕
➖
📋
⬆️
已复制到剪贴板