设
(n>1)为来自正态总体N(μ,σ²)的样本,其中σ²未知,
和S²分别是样本均值和样本方差,对于检验假设
,当显著性水平为α时
的拒绝域为( )
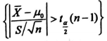
A、

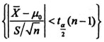
B、

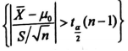
C、

D、

【正确答案】:C
【题目解析】:
本题,总体方差未知,对单个正态总体均值进行检验,采用t检验。排除A、B项。当显著性水平为α时,拒绝域为
。
设
(n>1)为来自正态总体N(μ,σ²)的样本,其中σ²未知,
和S²分别是样本均值和样本方差,对于检验假设
,当显著性水平为α时
的拒绝域为( )




本题,总体方差未知,对单个正态总体均值进行检验,采用t检验。排除A、B项。当显著性水平为α时,拒绝域为
。
📱 扫码体验刷题小程序
扫一扫使用我们的微信小程序