翰林刷题,免费考试真题网站!
首页
关于我们
首页
›
分类
› 详情
作者:高老师
时间:2024-07-29
浏览 1
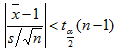
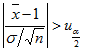
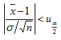
A、
B、
C、
D、
【正确答案】:A
【题目解析】:
📱 扫码体验刷题小程序
扫一扫使用我们的微信小程序
热门题目
邓小平在1980年发表的《党和国家领导制度的改革》讲话的主要思路是什么?
感觉 知觉 表象是( )
下列选项属于证券投资风险的特征的是( )
现代西方经济学的工资理论主要有( )等。此外,还有与工资分配有关的人力资本理论、分享经济理论等。
市场供给
计提管理活动用固定资产累计折旧19000元。
员工招聘与选用程序的第一步是
制造商尽可能多地通过许多负责任的、适当的批发商和零售商推销其产品的分销战略是()
简述新产品定价策略的类型。
慢性肾小球肾炎血压控制的目标是将血压控制在(____)/(____)mmHg以下。
有关气管插管者拔管的护理措施,叙述正确的是()
C5脊髓损伤者康复训练应达到的目标有()
➕
➖
📋
⬆️
已复制到剪贴板